Envelopes - Technical Indicators

The logic between envelopes indicator is that greedy buyers and sellers tend to push the price to the boundaries of the security's normal trading range. This indicator is very similar to Bollinger Bands. Envelopes define upper and lower boundaries of stock trading range. 

 


 
 

When the security price crosses the upper band in an upward direction Envelopes generate a sell signal; when a security price crosses lower band in an upward direction a buy signal is generated. 

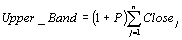
Envelopes indicator consists of two moving averages shifted upward and downward from the security price. The formulas below show how Envelopes are calculated. Here n - number of days, P - percentage shift

FDX NXPI PSX ADSK MCO SRE D EW APH AZO MET MAR PSA MCHP OXY AEP ROP 
 

 

Copyright © 2000-2023, Ashkon Software LLC
Privacy Policy
| Disclaimer